Hammer Throw Distance Estimation Using Deep Learning and Physics-Based Modeling

1Faculty of Information Technology, University of Jyväskylä, Jyväskylä, Finland
2Faculty of Engineering, Aristotle University of Thessaloniki, Thessaloniki, Greece
3Finnish Institute of High Performance Sport KIHU, Jyväskylä, Finland

Overview Video

Abstract

The rapid advancement of deep learning and computer vision technologies is transforming sports analytics, enabling more precise performance analysis and motion tracking. However, accurately estimating hammer throw distances without physical measurements remains a challenge due to the complexity of the motion and the high speed of the projectile. The ability to accurately predict hammer throw distances would be particularly useful in indoor training settings, where the hammer's trajectory is stopped by safety nets or mattresses from a short distance. To address this challenge, we introduce a deep learning-based method that combines object detection with physics-based modeling to estimate motion outcomes. Our methodology employs a dual-camera setup to capture side and back views of the throw, applies advanced object detection to track the hammer head position frame by frame, and reconstructs 3D trajectory points to estimate the release speed, angle, and height that allow predicting the throw distance. By enabling quantitative assessment of performance without relying on physical landing measurements, the proposed approach supports objective training feedback on the release parameters and distance estimation in typical training environments where traditional distance-based evaluation is not feasible. Our approach enables accurate performance evaluation in spatially constrained settings. Experimental results demonstrate that our approach achieves an average error of less than three meters (~4%) in estimating the distances compared to ground truth measurements. Our codes and trained models are available at https://github.com/AhmedEH28/hammerthrow.

Dataset

Dataset statistics 2

Fig. 1. The dataset consists of hammer throw recordings collected between 2017 and 2024 during official competition events by the Finnish Institute of High Performance Sport (KIHU). The recordings were captured using a synchronized dual-camera setup that provides side and back views of the throwing motion, recorded at 180/240 fps with a resolution of 1920×1080 pixels. In total, the dataset includes 88 hammer throw events (176 videos) and over 120,000 annotated frames. The dataset spans 28 different competition events across multiple years with varying camera placements and environments, providing diverse conditions in terms of lighting, athlete motion, and recording setups.

Method

Overall Structure

Fig. 2. Overview of our hammer throw distance estimation pipeline. The system takes synchronized video inputs from two camera views, detects the hammer head in each frame, and applies filtering and smoothing, reconstructs the 3D trajectory using DLT based calibration, detects the release point and calculates the release parameters, and finally estimates the throw distance using physics-based modeling.

Results

Table 3 Table 4

Table 3 and Table 4. Hammer throw distance and release parameters. based on a) automatic, and b) manual release point inspection methods.

Table 5

Table 9

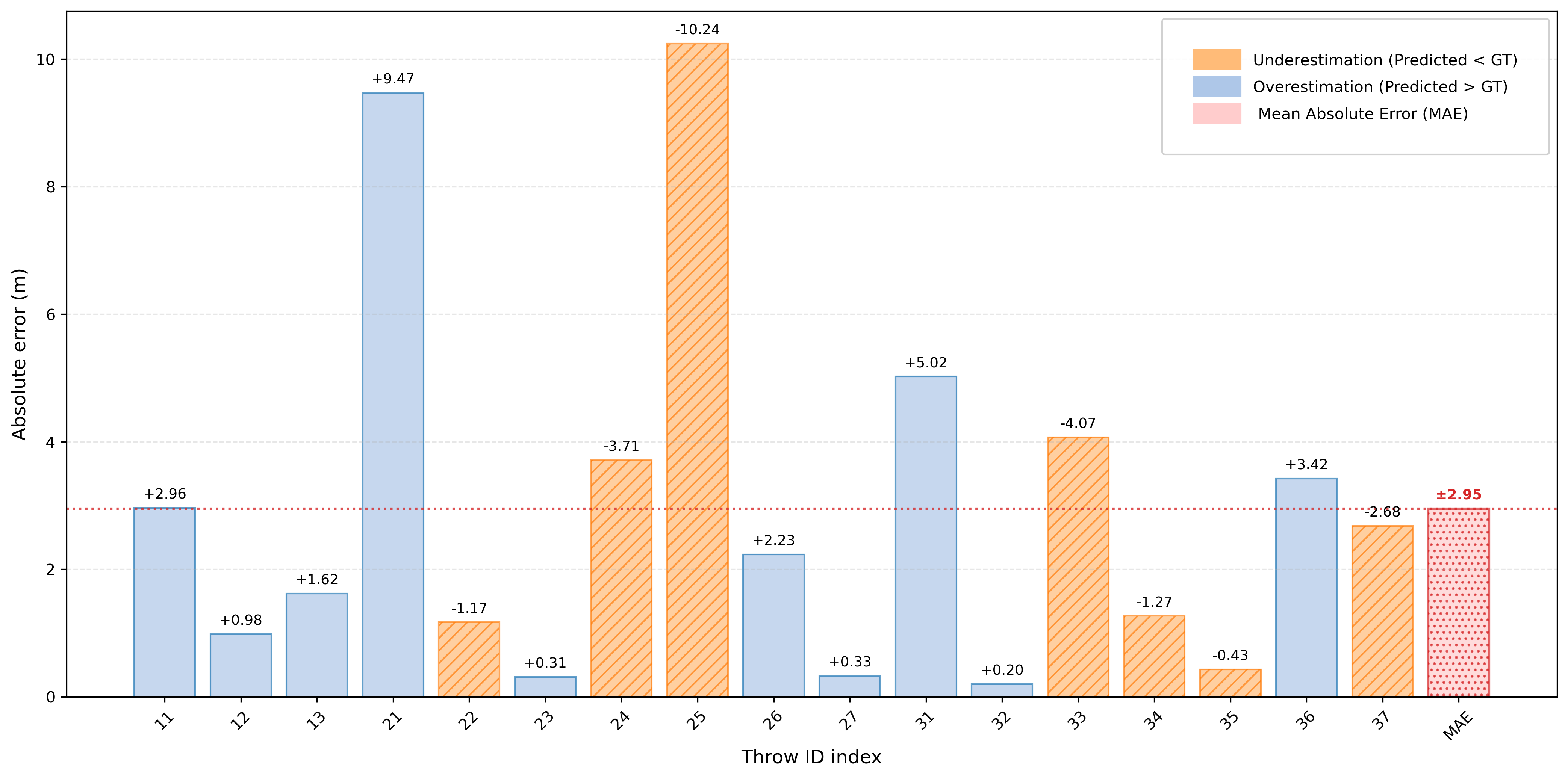
Fig. 3. Absolute error for each test throw. Comparison of prediction errors across different throws is presented, showing both overestimation (light blue) and underestimation (light orange) relative to ground truth values. The mean absolute error is shown in light red.

Qualitative Results

Results3

Fig. 4. Examples of hammer head detection and trajectory reconstruction using the trained YOLO11s model under different recording conditions. The top row (a–c) shows side-view camera perspectives, while the bottom row shows the corresponding back-view recordings from the synchronized dual-camera setup. Samples (a) and (b) are from outdoor competition datasets with varying lighting and backgrounds, while (c) is from in an indoor training environment.

BibTeX


        @article{hasen2026hammer,
            title={Hammer Throw Distance Estimation Using Deep Learning and Physics-Based Modeling},
            author={Hasen, Ahmed Endris and Passalis, Nikolaos and V{\"a}nttinen, Tomi and Raitoharju, Jenni},
            journal={Expert Systems with Applications},
            pages = {132022},
            year = {2026},
            issn = {0957-4174},
            publisher={Elsevier}
            doi = {https://doi.org/10.1016/j.eswa.2026.132022},
            url = {https://www.sciencedirect.com/science/article/pii/S0957417426009358},
        }